Тест по оптике

Уменьшенное мнимое изображение предмета образовалась на расстоянии 10 см от линзы с оптической силой -4 дптр. На каком расстоянии от линзы расположен предмет (см)?

60

16,7

30

8,6

Точечный источник света находится в фокусе рассеивающей линзы с оптической силой -2 дптр. На каком расстоянии от линзы (см) получается изображение источника?

12,5

50

25

100

За какое время (с) свет пройдет расстояние, равное длине конуса тени, отбрасываемой Землей в солнечных лучах? Влиянием атмосферы пренебречь. Rc= 7•108 м – радиус Солнца R = 6,4•106 м – радиус Земли R0= 1,5•1011м – радиус земной орбиты с = 3•108м/с – скорость света.

Оптика - picture 16047

≈46

≈480

≈4,6

≈10

Можно ли с помощью плосковогнутой стеклянной линзы получить действительное изображение?

нельзя

можно, поместив ее в среду с показателем преломления п > пстекла

можно, поместив ее в среду с показателем преломления п < пстекла

можно, поместив предмет в 2F (F – фокусное расстояние)

Расстояние от предмета до рассеивающей линзы в n раз больше фокусного расстояния линзы. Во сколько раз изображение меньше предмета?

п-1

1/(п+1)

n+1

n

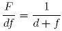
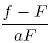
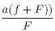
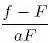
С помощью собирающей линзы с фокусным расстоянием F получено действительное изображение предмета высотой а. Какова высота изображения, если расстояние от него до линзы равно f?

Оптика - picture 16050_72591

Оптика - picture 16050_72592

Оптика - picture 16050_72593

Оптика - picture 16050_72594

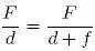
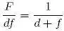
Формула рассеивающей линзы правильно записана в ответе:

-1/F=1/f-1/d

1/F=1/d-1/f

-1/F=1/d-1/f

1/F=1/d+1/f

На каком расстоянии от собирающей линзы с фокусным расстоянием 1 м надо расположить предмет, чтобы его мнимое изображение получилось на расстоянии 3 м от линзы?

1

0,75

1,5

1,25

В прозрачной среде с показателем преломления 1,4 имеется сферическая воздушная полость диаметром d=3 см. В среде распространяется параллельный пучок света, диаметр которого больше d. Каков радиус светового пучка (см), проникшего в воздушную полость?

0,625

1,07

1,15

1,25

На рисунке показано положение рассеивающей линзы, ее главной оптической оси, фокусов и предмета АВ. Каким будет изображение предмета? 2F > d > F

Оптика - picture 16054

действительное, увеличенное

мнимое, уменьшенное

действительное, уменьшенное

мнимое, увеличенное

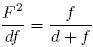
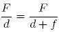
Пусть d- расстояние от собирающей линзы до предмета, f-от линзы до изображения, F- фокусное расстояние. Какое из приведенных соотношений между этими величинами верно?

Оптика - picture 16055_72611

Оптика - picture 16055_72612

Оптика - picture 16055_72613

Оптика - picture 16055_72614

В прозрачной среде с показателем преломления 1,2 имеется сферическая воздушная полость диаметром d=3 см. В среде распространяется параллельный пучок света, диаметр которого больше d. Каков радиус светового пучка (см), проникшего в воздушную полость?

1,15

0,625

1,07

1,25

Изображение предмета, расположенного на расстоянии 1 м от рассеивающей линзы, находится на расстоянии 20 см от линзы. Определите оптическую силу линзы в диоптриях.

-2

-4

+4

-3

В прозрачной среде с показателен преломления 1,3 имеется сферическая воздушная полость диаметром d=3 см. В среде распространяется параллельный пучок света, диаметр которого больше d. Каков радиус светового пучка (см), проникшего в воздушную полость?

1,25

1,15

0,625

1,07

Светящаяся точка находится на расстоянии 2 м от рассеивающей линзы с оптической силой -2 дптр. На каком расстоянии от линзы получится ее изображение (м)?

1

0,4

1,25

0,8

Определите постоянную дифракционной решетки (мкм) с 400 штрихами на каждом мм.

2

10

1

2,5

Определите скорость света (м/с) в алмазе (n=2,4)?

1,5•108

1,25•108

2,40•108

1,35•108

Дифракционная решетка с периодом d освещается монохроматическим светом с длиной волны л, падающим перпендикулярно ее поверхности. Укажите условие дифракционных максимумов.

dsinφ=kλ

dcosφ=kλ

dsinφ=(2k+1)λ/2

dcosφ=(2k+1)λ/2

С какой скоростью (м/с) распространяется свет в среде с показателем преломления 1,3?

0,5•108

2,3•108

2,5•108

3•108

Расстояние от центрального дифракционного максимума до первого, полученных с помощью дифракционной решетки с периодом 0,02 мм, составляет 3 см. Чему равна длина световой волны (нм), если расстояние от решетки до экрана -1 м?

400

600

800

200

Определите частоту света (Гц), распространяющегося в прозрачной среде с показателем преломления 1,2 и имеющего в этой среде длину волны 500 нм

4•1014

5•1014

1,5•1015

3•1014

Какие из перечисленных излучений обладают способностью к дифракции:
1) видимый свет,
2) инфракрасное излучение,
3) рентгеновские лучи,
4) радиоволны?

1 и 3

1 и 4

1 и 2

все

Какие из перечисленных ниже явлений впервые получили объяснение на основе волновой теории света:
1) интерференция;
2) дифракция;
3) дисперсия;
4) фотоэффект;
5)поляризация?

1, 2, 3, 5

2, 3

1, 2

3, 4

Определите частоту электромагнитных волн (Гц), если в вакууме соответствующая длина волны равна λ = 6•10-7м.

6•1015

6•107

5•1015

5•1014

Какое из нижеперечисленных явлений природы объясняется дисперсией света?

"игра цветов" на перламутровой посуде

радужная окраска мыльных пузырей

образование цветных полос на экране от луча белого света, прошедшего через узкую щель

радуга на небосводе после грозы

Какими из следующих оптических приборов белый свет можно разложить в спектр:
1) вогнутым зеркалом;
2) прозрачной треугольной призмой;
3) дифракционной решеткой;
4) прозрачной плоскопараллельной пластинкой?

2 и 4

2 и 3

1 и 3

1 и 4

Чему равна длина световой волны (нм) в среде с показателем преломления n=1,5 , если частота колебаний в ней равна 1015 Гц.

200

400

100

600

Период дифракционной решетки равен 2 мкм. Какова длина световой волны (мкм), если дифракционный максимум второго порядка наблюдается под углом 30°?

0,9

0,8

0,7

0,5

Условие применимости законов геометрической оптики, если размер препятствия d, а длина световой волны λ, имеет вид

d>λ

d<λ

d≈λ

d<λ/2

Расположите следующие виды электромагнитных излучений по мере уменьшения их длины волны:
1) видимый свет,
2) радиоволны,
3) инфракрасное излучение,
4) ультрафиолетовое излучение,
5) рентгеновские лучи.

5, 4, 1, 3, 2

2, 1, 3, 4,5

1, 3, 2, 5, 4

2, 3, 1, 4, 5

Как изменится частота света при переходе из вакуума в прозрачную среду с показателем преломления n=2?

увеличится в 4 раза

увеличится в 2 раза

уменьшится в 2 раза

не изменится

При переходе света с длиной волны 540 нм из вакуума в некоторую прозрачную среду длина волны сократилась на 180 нм. Определите скорость света в этой среде (м/с).

1,5•108

1•108

2•108

1,2•108

Под каким углом наблюдается зеленая линия (λ= 500 нм) в спектре первого порядка, полученном с помощью дифракционной решетки с периодом 1 мкм?

45°

60°

30°

Для света какого цвета показатель преломления воды является наибольшим?

зеленого

красного

желтого

фиолетового

Скорость света в воде равна 230 тыс. км/с, в спирте – 221 тыс. км/с и в глицерине – 204 тыс. км/с. Сопоставьте показатели преломления этих сред.

n1

n1=n2=n3

n1>n2>n3

n1=n3

При переходе света из вакуума в некоторую прозрачную среду его длина волны уменьшилась с 640 нм до 540 нм. Чему равна скорость света (тыс. км/с) в этой среде?

236

225

268

253

При переходе света из вакуума в некоторую прозрачную среду его длина волны уменьшилась с 620 нм до 520 нм. Чему равна скорость света (тыс. км/с) в этой среде?

234

248

240

252

При переходе света из вакуума в некоторую прозрачную среду его длина волны уменьшилась с 580 нм до 480 нм. Чему равна скорость света (тыс. км/с) в этой среде?

248

236

224

262

Каков период дифракционной решетки (мкм), если оптическая разность хода лучей, выходящих из двух соседних щелей решетки равна 2 мкм и угол дифракции 30°?

4

1

2

40

При переходе света из вакуума в некоторую прозрачную среду его длина волны уменьшилась с 480 нм до 380 нм. Чему равна скорость света (тыс. км/с) в этой среде?

253

221

242

237

Мнимое изображение предмета вдвое меньше самого предмета. На каком расстоянии от рассеивающей линзы d (F – фокусное расстояние линзы) он расположен?

d=F

F

d

d=2F

При переходе света из вакуума в некоторую прозрачную среду его длина волны уменьшилась с 450 нм до 350 нм. Чему равна скорость света (тыс. км/с) в этой среде?

233

256

241

250

Можно ли с помощью двояковогнутой линзы получить действительное изображение предмета? F-фокусное расстояние

можно, если линзу поместить в прозрачную среду, показатель преломления которой больше, чем у материала линзы

можно, если предмет расположен между F и 2F

можно, если предмет расположен ближе F

невозможно ни при каких обстоятельствах

При переходе света из вакуума в некоторую прозрачную среду его длина волны уменьшилась с 460 нм до 390 нм. Чему равна скорость света (тыс. км/с) в этой среде?

254

244

267

240

При переходе света из вакуума в некоторую прозрачную среду его длина волны уменьшилась с 660 нм до 560 нм. Чему равна скорость света (тыс. км/с) в этой среде?

255

278

233

266

При переходе света из вакуума в некоторую прозрачную среду его длина волны уменьшилась с 470 нм до 370 нм. Чему равна скорость света (тыс. км/с) в этой среде?

244

250

230

236

При переходе света из вакуума в некоторую прозрачную среду его длина волны уменьшилась с 575 нмдо420нм. Чему равна скорость света (тыс. км/с) в этой среде?

269

250

235

219

Дифракционная решетка с периодом 2 мкм освещается светом натриевой лампы, наибольшая длина волны которой 589 нм. Сколько светлых (желтых) полос можно при этом увидеть на экране неограниченных размеров?

3

6

4

7

Для какого света фокусное расстояние собирающей линзы будет наибольшим?

фиолетового

желтого

красного

зеленого

Свечение жуков-светлячков – это…

хемилюминесценция

триболюминесценция

тепловое излучение

фотолюминесценция

Также изучают: медицинская биофизика, Электроника, Квантовая физика, Колебания и волны, Термодинамика

Статьи по теме

Что за астрономия и зачем она нужна.

Задумывались ли вы когда-нибудь о том, как устроена наша Вселенная? Почему все происходит именно так, как оно происходит? Почему мы живем именно на Земле, а не на Марсе? Как вообще появились звезды на небе? На все эти вопросы может ответить (ну или постараться ответить) одна из самых интересных наук – Астрономия.

на заднем плане виден Млечный Путь
на заднем плане виден Млечный Путь

Не путайте науку о Вселенной с псевдонаукой о гороскопах Астрологией. Да, их темы соприкасаются со звездами и планетами и в самом начале они шли бок о бок друг с другом, однако, принципы астрологии не подтверждаются научными методами. Да и астрология в основном про черты характера и судьбы людей, а не про то, как устроен космос. Я соглашусь, эта лженаука может быть интересной и информативной для кого-то, но поверьте мне, астрономия куда круче.

И так, что же за наука эта астрономия и с чем ее едят? Начнем, пожалуй, с простого – с определения.
Астрономия (от греческого – звезда и закон) – это наука о Вселенной, которая изучает небесные тела (то есть звезды, планеты, галактики, астероиды и так далее), а также их движение, структуру, происхождение и развитие. Но на этом астрономия не заканчивается! Наука о звездах охватывает множество разделов, таких как небесная механика (движение тел), астрофизику (физику тел), космологию (Вселенную в целом) и планетологию (планеты и спутники).

Астрономия это одна из древнейших естественных наук, которая берет свое начало еще до нашей эры. Представьте себе, Вы живете во II веке до нашей эры, в мире еще нет такого понятия как «световое загрязнение». Ночи невероятно темные, а на ночном небе видно 2-3 тысячи мерцающих точек и все это выглядит невероятно красиво. Вы ориентируетесь на фазы луны, чтобы определить какой на дворе день и месяц. Благодаря чистейшему небу, Вы определяете стороны света для навигации и времени. Звучит здорово, не так ли?

VI век. Древнегреческий философ Аристотель думал также. Ученик Платона свел все сведения того времени о небесных явлениях и движениях светил в стройную теорию. Аристотель, основываясь на теорию движения планет Евдокса Книдского IV века до нашей эры, приписал планетным сферам реальное физическое существование.

Но что за теория движения планет? Книдский объяснял эту теорию как видимое движение планет комбинацией равномерных круговых движений, вращающихся вокруг Земли. Для каждой планеты (и Солнца, и Луны) Евдокс использовал несколько сфер (от 3 до 4), полюса которых были закреплены на предыдущей сфере, создавая сложные траектории для объяснения попятного (ретроградного) движения.

геоцентрическая модель мира
геоцентрическая модель мира

«Стоп, что? Попятное движение? Ретроградное движение? Это как-то относится к тому, что у меня болит голова во время ретроградного меркурия?»

Нет!

Ретроградное или попятное движение – это кажущееся движение небесного тела (например, планеты) в направлении, противоположном его обычному движению на фоне звезд.

«Ничего не понятно…А можно простыми словами?...»
Итак, как же это выглядит. Планеты просто движутся по небу, а Земля, двигаясь быстрее, «обгоняет» медленную внешнюю планету. Из-за того, что Земля обогнала планету, кажется, что она остановилась, и как только Земля проходит дальше этой планеты, то она снова начинает двигаться вперед.
Это было только начало астрономии.

видимое попятное (ретроградное) движение планеты с точки зрения земного наблюдателя
видимое попятное (ретроградное) движение планеты с точки зрения земного наблюдателя

Вернемся обратно к теории. В сумме эти сферы насчитывали 27 сфер для всех светил, включая неподвижных звезд. И что же эта теория дает, спросите Вы. А она успешно объясняла движения наблюдаемых планет. Вы наверняка заметили, как Книдский и Аристотель считают, что в центре Вселенной находилась неподвижная Земля, которая еще и не вращается вокруг своей оси. Но мы все знаем, что это не так. Как же тогда люди пришли к такому выводу?

«Гелиоценрическая модель мира – представление о том, что Солнце является центральным небесным телом, вокруг которого вращаются Земля и другие планеты»

схема Солнечной системы, гравитационно связанной системы, состоящей из Солнца и объектов, вращающихся вокруг него
схема Солнечной системы, гравитационно связанной системы, состоящей из Солнца и объектов, вращающихся вокруг него

Ответ на вопрос, как люди пришли к данной модели очень прост. А все благодаря наблюдениям и математическим расчетам, которые показали, что модель «Земли в центре» сложна и плохо объясняет движение планет.
Да, вот она наука. Все ответы мы находим через наблюдения и расчеты.

Но кто же человек, стоящий за таким великим открытием? Это был Николай Коперник – польский и немецкий астроном и математик эпохи Возрождения. Как он пришел к выводу о гелиоцентрической модели мира? Правильно – благодаря наблюдениям и подсчетам, мы же, все таки, о науке говорим))

Вообще, Коперник, как и другие, видел сложности в модели, где Земля была в центре и не вращалась. Поэтому, он заметил, что поместив Солнце в центр и сделав Землю одной из вращающихся планет, это объясняло движения планет в более естественном ключе.

Стоит также отметить, что именно Коперник постулировал, что Земля совершает три движения:

  1.  Вокруг своей оси (суточное);
  2. Вокруг Солнца (годичное); 
  3. И небольшое «деклинационное» движение.

Деклинационное движение – это годичное движение оси Земли, которое происходит параллельно самой себе и приводит к видимому годичному движению Солнца. То есть, когда Солцне меняет свою высоту над горизонтом в течении года, то поднимаясь выше летом, то опускаясь ниже зимой. При этом, оно не меняет своего положения, а просто «танцует» вверх-вниз на небесной сфере.

Может быть, Вы видели видео в интернете, как автор мог снимать как движется Солнце в течении года, оставляя камеру на одном месте. Это на самом деле, выглядит очень интересно, и наглядно показывает, как «танцует» Солнце в деклинационном движении.

солнечная аналемма, кривая, описывающая видимое движение Солнца в течение года, снятая в одно и то же время суток из одного и того же места
солнечная аналемма, кривая, описывающая видимое движение Солнца в течение года, снятая в одно и то же время суток из одного и того же места

Но почему вообще Солнце в центре нашей системы? Почему именно звезда, а не какая-нибудь планета? Солнце находится в центре Солнечной системы, потому что оно является самым массивным объектом. А содержание 99,866% всей массы системы и мощная гравитация удерживает все планеты, астероиды и кометы на орбитах вокруг себя. А как появилось Солнце? Все началось с облака газа и пыли, из которого уже сформировалось Солнце, а вокруг него из остатков вещества образовался диск, из которого возникли планеты.

Солнце – это звезда, потому что массивное самосветящееся небесное тело, состоящее из горячей плазмы (водород и гелий), в ядре которого происходят термоядерные реакции, выделяющие свет и тепло, вокруг которого вращаются планеты.

Вы наверняка видели в новостных канал или просто в интернете, про вспышки Солнца, что некоторые могут быть очень большими и влиять на физическое состояние людей.
Знали ли Вы, что данные вспышки происходят из-за внезапного высвобождения накоплений магнитной энергии в атмосфере Солнца. Часто в областях, солнечных пятен, где магнитные поля становятся чрезвычайно сложными, переплетаются и разрываются, что приводит к взрывному выделению огромного количества энергии в виде света, тепла и заряженных частиц.

извержение на поверхности Солнца
извержение на поверхности Солнца

Но такие солнечные вспышки, на самом деле опасны. Если бы у Земли не было мощного магнитного поля, которое отклоняет заряженные частицы и плотная атмосфера, которая поглощает вредное излучение, то наша планета выглядела бы как Марс, который потерял свое глобальное магнитное поле еще в далеком прошлом.

магнитное поле Земли (магнитосфера), которое защищает планету от солнечного ветра и излучения
магнитное поле Земли (магнитосфера), которое защищает планету от солнечного ветра и излучения

Интересный факт: Вы можете увидеть невооруженным глазом солнечные вспышки, и это называется северное сияние! Это происходит из-за того, что солнечные вспышки проходят в верхних слоях атмосферы Земли, когда заряженные частицы солнечного ветра, направляемые магнитным полем планеты к полюсам, сталкиваются с молекулами газов и заставляют их светиться разными цветами.

Северное сияние (также известное как полярное сияние или aurora borealis)
Северное сияние (также известное как полярное сияние или aurora borealis)

Признаться честно, в сфере астрономии просто невероятно много информации, которую можно обсуждать часами. Как устроена Вселенная, почему именно так, как все зародилось и что будет после. То, что Вы прочли в этой статье это самая-самая верхушка айсберга. Потому что можно бесконечно обсуждать космос, звезды, астероиды, планеты. Ведь в этой неимоверно огромной и бесконечной Вселенной столько же много загадок, теорий и ответов.

А я, безумно надеюсь, что когда-нибудь люди узнают все тайны космоса, хотя возможно это далеко за гранью человеческого понимания. И надеюсь, что эта статья задала Вам начало любви к астрономии, ну или просто Вы удовлетворили свою потребность в прочтении чего-то космического)

3

Квантовые компьютеры — это хайп или новая реальность? Объясняем 'кубиты' на пальцах и показываем, что они сломают в IT-индустрии уже завтра

Представьте себе утро, когда вы просыпаетесь, а ваш смартфон не просто будит вас, а предсказывает весь день: идеальный маршрут без пробок, лекарство от простуды, сгенерированное под ваш геном, и инвестиции, которые вырастут в реальном времени. Эта вычислительная мощь — не из кремния, а из самой природы частиц, перенесённой в машины.

Квантовые компьютеры (художественная иллюстрация)
Квантовые компьютеры (художественная иллюстрация)

Квантовые компьютеры обещают именно такую картину: сверхбыструю, умную силу, способную перевернуть нашу цифровую жизнь. Но вот парадокс — с 1980-х годов, когда первые учёные зажгли искру идей, мы потратили сотни миллиардов долларов, а ваш ноутбук по-прежнему мучается с простыми задачами.

Почему так происходит? Что мешает этой 'квантовой' революции хлынуть в наши гаджеты? И главное — сколько ещё ждать, пока она станет реальностью? Давайте нырнём в эту историю глубже, шаг за шагом разбирая факты, достижения и препоны. Я опираюсь на свежие отчёты из надежных источников — от McKinsey и MIT до ассоциаций квантовых компаний, — чтобы всё было по-честному, без домыслов.

Что такое квантовые компьютеры - простыми словами о частичной силе в машинах

Квантовый компьютер — это не магия, а чистая физика, которая уже миллиарды лет работает в атомах. Представьте два крошечных шарика — биты в обычном ПК, которые могут быть только 0 или 1. Они отталкиваются от сложностей, как магниты, но если применить квантовые эффекты — суперпозицию и запутанность, — они сближаются с такой силой, что решают задачи параллельно. В этот миг высвобождается огромный заряд вычислений: из частиц рождается мощь, которая может оптимизировать весь интернет.

Почему это кажется идеальным? Потому что кванты решают сразу несколько глобальных головоломок. Вот ключевые плюсы, подтверждённые расчётами экспертов из MIT и McKinsey:

  1. Экологическая чистота. Ни грамма лишнего тепла от дата-центров, которые жрут энергию как города. Кванты экономят ресурсы, в отличие от классики, где они накапливаются годами. По оценкам, они сократят глобальные энергозатраты на 20–30% к середине века.
  2. Бесконечные возможности расчётов. Кубиты создают из специальных материалов вроде сверхпроводников или ионов — фабрики планеты содержат их на десятилетия вперёд. Нет нужды в редких металлах или войнах за кремний.
  3. Гигантская скорость в малом объёме. N кубитов дают 2^n состояний — это экспоненциальная мощь, эквивалентная миллиардам битов. Это значит, что устройство размером с смартфон могло бы смоделировать климат планеты без передышки.

Эти преимущества уже привлекают внимание бизнеса и науки, открывая двери для инноваций, о которых раньше можно было только мечтать. Но, конечно, не всё так просто — технология требует идеальных условий, и именно это делает её такой сложной в реализации.

Но вот в чём соль: в лаборатории кубиты держатся миг из-за шума, как сигнал в помехах. Чтобы они работали стабильно, как в природе, нужно преодолеть барьеры, которые держат нас в напряжении десятилетиями. А пока давайте вспомним, как всё начиналось — эта история полна драмы, триумфов и неожиданных поворотов.

История квантовых компьютеров - от смелых идей 1980-х до глобальных мегапроектов

Всё пошло в 1980-е, когда человечество, ещё не отошедшее от первых ПК, начало мечтать о сверхвычислениях. В 1981 году в лаборатории физик Ричард Фейнман предложил идею: использовать квантовые эффекты, чтобы моделировать природу. Это был прорыв, но первые эксперименты обернулись разочарованием.

Вспомним первые алгоритмы — в 1994 году Питер Шор придумал способ взлома шифров. Учёные объявили о сенсации, но через годы выяснилось: это всего лишь теория. Такой урок научил: кванты требуют терпения. В 1990-х в США изобрели первые кубиты — устройства, где частицы "крутятся" в суперпозиции, не давая ошибкам коснуться расчётов. Это стало стандартом: сегодня 90% экспериментов используют такие подходы.

2000-е принесли надежду. В лабораториях, как у IBM, стабилизировали кубиты для первых цепочек — на пороге реакции. Но мощности выходило меньше, чем вкладывали. 2010-е — эра облачных квантов: в Google калибровали системы, чтобы сжимать задачи в миг. А в 2019 году на Sycamore в США кубиты продержались микросекунды при полной мощности. Учёные ликовали: это был первый шаг к 'преимуществу' — моменту, когда квант обходит классику.

2020-е объединили мир. Стартовали проекты вроде Quantum Flagship в ЕС. 35 стран, включая США, ЕС, Китай, вложили миллиарды. Цель: доказать, что кванты работают на масштабе. Строительство шло, но задержки из-за цепочек поставок сдвинули график. К 2025 году проект вышел на новый уровень: в октябре установили новые чипы, а системы вроде Willow завершены. Первый реальный расчёт запланирован на конец года, а полноценные операции — на 2030-е. Несмотря на риски, это даёт надежду. Такие шаги показывают, как из чистой теории технология превращается в реальные машины, способные менять мир.

Сегодня кванты — не только государственная монополия. Более 70 частных компаний по миру строят компактные версии, а общее число установок превысило 160. Это как если бы в 1980-х вместо одной лаборатории расцвёл целый лес стартапов — и всё благодаря деньгам, которые хлынули рекой.

Масштаб вложений - как миллиарды долларов меняют правила игры

Если кванты — это марафон, то инвестиции — топливо для бегунов. С 1980-х мир вбухал в них сотни миллиардов: только государственные программы США, Европы и Азии — около 100 миллиардов долларов. Но настоящий взрыв случился недавно. По отчётам McKinsey на конец 2025 года, частные инвестиции превысили 2 миллиарда долларов глобально — рост в пять раз с 2020-го. За последние месяцы компании привлекли миллиарды — рекорд, который бьёт все предыдущие.
Кто стоит за этим? Не только энтузиасты в белых халатах, а тяжеловесы бизнеса и политики. Разберём по полочкам:

  1. Государства как якорь. США через DOE выпустили дорожную карту, обещая коммерцию в 2030-х и инвестируя в материалы и пилоты. Китай лидирует: их компании собрали миллиарды на национальные системы. ЕС и Япония продолжают кормить проекты, а Великобритания — свои лаборатории.
  2. Корпоративные гиганты. Google и Microsoft вложили сотни миллионов в стартапы, видя кванты как замену классике. IBM подписали контракты для дата-центров — ИИ жрёт вычисления, как слон бананы, и кванты обещают дешёвый поток. Honeywell разрабатывает чипы для будущих сетей.
  3. Венчурные 'акулы'. Фонды вроде Breakthrough Energy лидируют. В 2025-м IonQ привлекла миллиарды, доведя капитал до топа — треть всех вложений в кванты. Rigetti, партнёр Amazon, начала строительство для поставок в 2028-м.

Эти деньги не просто лежат: компании наняли тысячи специалистов, плюс цепочки поставок — рост в четыре раза за пять лет. Но 83% фирм жалуются: нужно ещё миллиарды на пилоты. Это как строить космический корабль — каждый болт стоит fortune, но без него не взлетишь. Такие вложения уже дают плоды: от новых чипов до первых коммерческих контрактов, ускоряя переход от лабораторий к реальному бизнесу.

И вот вопрос: а окупается ли? По моделям, кванты добавят триллионы к глобальному ВВП к 2050-му, сделав вычисления дешевле на 50%.

Почему мечта тормозит - разбор главных 'врагов' квантов

Теперь к горькой правде: несмотря на бабло и мозги, кванты упорно не выходят на рынок. Это не лень или заговор — а суровая физика и инженерия. Представьте, что вы пытаетесь удержать в руках горсть песка во время урагана: вот так и кубиты — капризные, неуловимые. Вот топ-барьеры, подтверждённые отчётами DOE и McKinsey на 2025 год:

  1. Хрупкость, но на миг. Чтобы кубиты работали, нужна стабильность. В системах их контролируют лазерами и полями, но в апреле 2025-го на установках дали преимущество — в разы больше, чем потратили. Но это длилось наносекунды. Для реальности нужно часы непрерывных расчётов, а кубиты теряют состояние за микросекунды из-за декогеренции.
  2. Удержать 'дикого зверя'. Кубиты — миллиарды состояний, мчащихся хаотично. Магниты сжимают их, но турбулентность в цепях рвёт стабильность. В новых дизайнах форма хитрее — топологические структуры вместо простых, — но они сложнее в постройке. Решение? ИИ-модели, которые предсказывают 'взбрыки' с точностью 90%.
  3. Материалы, что не разрушаются. Шум от среды бьёт по чипам, как помехи. Материалы должны выдерживать радиацию и вибрации десятилетиями. Сейчас используют сверхпроводники и ионы, но они эродируют от ошибок. Инвестируют в 'умные' покрытия, но прорыв ждёт.
  4. Логистика в цикле. Кубиты редки — их создают в лабораториях. Их 'стабилизируют' в системах, но эффективность 10–20%. Плюс, цепочки для редкоземельных металлов хрупки, как стекло.
  5. Экономика и бюрократия. Строительство — 5–10 миллиардов. Регуляции? Нет стандартов для 'квантовой безопасности' — проще для еды. Плюс, конкуренция с дешёвыми AI.

Эти проблемы — не стена, а лестница. Каждый шаг, как в новых чипах, приближает вершину, но спотыкания бывают. И всё же прогресс ускоряется: от снижения ошибок до новых материалов, которые делают кванты ближе к реальности.
Текущий прогресс – от лабораторных вспышек к заводам будущего.

Хорошие новости перевешивают: 2025-й — год, когда кванты вышли из тени. McKinsey выделяет шесть трендов: рост инвестиций, ИИ в моделировании, компактные дизайны, партнёрства с гигантами, глобальные цепочки и фокус на материалах. Более 160 установок по миру тестируют идеи — от ионных ловушек до фотонных.

Государственные флагманы в действии:

  1. Willow от Google. Опережает график — в октябре 2025-го запустили Quantum Echoes, алгоритм в 13 000 раз быстрее суперкомпьютера. Первый тест — конец года, полноценные операции — 2030-е. Аудиторы предупреждают о рисках, но 80% компонентов на месте.
  2. Majorana от Microsoft. Рекорд — шаг к 'устойчивым' кубитам. Лаборатории используют ИИ для оптимизации, повышая эффективность на 30%.
  3. Китай и другие. Системы держат кубиты секунды; Япония тестирует материалы, сжимая размеры в разы.

Эти проекты уже показывают реальные преимущества, от симуляций молекул до оптимизации, доказывая, что переход к коммерции не за горами.

Частные 'революционеры' — звёзды 2025-го

Частники — мотор прогресса, фокусируясь на скорости и миниатюре. Вот лидеры по отчётам The Quantum Insider:

  1. IonQ (США). С миллиардами в кармане строит системы для преимущества к 2027-му. Затем коммерция: мощь на сеть в 2030-х. Amazon — первый клиент. Их ловушки — ключ: стабильность при комнатной температуре.
  2. D-Wave (Канада). Метод отжига — сжимают задачи пульсами. В марте 2025-м начали стройку: мощь к 2028-му для Microsoft. Раунд — миллионы, фокус на чистых расчётах без ошибок.
  3. Rigetti (США). Лидер по инвестициям (свыше миллиарда). Их конфигуратор использует сверхпроводники для цепей. Демонстратор — 2026-й, коммерция — 2030-й. Партнёры: Exxon.
  4. PsiQuantum (США). Фотонный подход — сжимают свет с кубитами. В 2025-м достигли масштаба; пилот — 2030-е. Инвестиции — от Британии.

Другие — Xanadu с фотонными чипами, Quantinuum с ионными. 84% компаний верят в сеть к 2030-м, половина — к 2035-му. Это не фантазия: в 2025-м фирмы дебютировали машинами, достигшими 'quantum-friendly' скоростей. Такие инновации уже привлекают клиентов из бизнеса, показывая, как квант выходит за пределы лабораторий.

Что сломается в IT-индустрии - переворот уже завтра

Кванты не заменят ваш ПК, но перевернут IT. По отчётам PwC и BCG, влияние на крипто, AI, облака:

  1. Шифры. Шор сломает старые — прощай, банковские коды. Нужно пост-квантовые, как в ЕС.
  2. AI. Ускорят модели — симуляции для лекарств.
  3. Оптимизация. Логистика, финансы — миллиарды сэкономлены.
  4. Облака. Azure, IBM — гибриды для бизнеса.
  5. Дата-центры. Меньше энергии, но новые угрозы.

Эти изменения уже начинаются: от гибридных систем до новых стандартов безопасности, заставляя IT-лидеров готовиться заранее.

Когда ждать прорыва - реалистичные горизонты и катализаторы успеха

Опросы McKinsey дают картину: первые пилоты — начало 2030-х, полная коммерция — середина десятилетия. DOE ставит mid-2030s как цель, с фокусом на этапы: демонстрации (3–5 лет), пилоты (5–10 лет) и флот (10+ лет). Но риски: задержки могут сдвинуть на 2040-е.

Что ускорит? Вот возможные катализаторы:

  1. Партнёрства. Группы координируют страны; ИИ-гиганты тянут.
  2. Технологии. ИИ моделирует; материалы снижают стоимость на 50%.
  3. Регуляции и финансы. Стандарты и миллиарды от США — ключ.

Если всё сложится, кванты покроют 10% вычислений к 2050-му, по моделям. Но даже если нет — каждый тест учит. Такие прогнозы основаны на реальном прогрессе, от снижения ошибок до первых доходов компаний.

Квантовые компьютеры — это сага о человеческом упорстве: от разочарований Фейнмана к рекордам Willow, от миллиардов в проектах к заводам IonQ. Миллиарды не зря — они строят мост к миру, где вычисления дешёвые, как воздух, и умные, как природа. Прорыв в 2030-х изменит всё: от AI без границ до сетей без взломов. Пока ждём, давайте ценить шаги — они освещают путь. А вы? Готовы ли к утру, когда квант зажжётся в вашей сети? Это не 'если', а 'когда' — и оно ближе, чем кажется.

4

Стандартная модель: основа современной физики частиц

Стандартная модель — это фундаментальная теория, описывающая элементарные частицы и три из четырёх известных фундаментальных взаимодействий: электромагнитное, слабое и сильное. Она объединяет результаты десятилетий экспериментов и представляет собой краеугольный камень физики высоких энергий.

Стандартная модель элементарных частиц
Стандартная модель элементарных частиц

Основные элементы

Стандартная модель включает:

1. Фермионы — частицы вещества:

  • Кварки (например, верхний и нижний), из которых состоят протоны и нейтроны.
  • Лептоны (в том числе электрон и нейтрино).

2. Бозоны — переносчики взаимодействий:

  • Фотон — переносит электромагнитное взаимодействие.
  • Глюоны — отвечают за сильное взаимодействие между кварками.
  • W- и Z-бозоны — обеспечивают слабое взаимодействие.
  • Хиггсовский бозон — придаёт массу другим частицам
Краткий обзор различных семейств элементарных и составных частиц и теории, описывающие их взаимодействия. Элементарные частицы слева — фермионы, справа — бозоны.
Краткий обзор различных семейств элементарных и составных частиц и теории, описывающие их взаимодействия. Элементарные частицы слева — фермионы, справа — бозоны.

Достижения

Стандартная модель предсказывала существование многих частиц, включая Хиггсовский бозон, который был обнаружен в 2012 году на Большом адронном коллайдере. Её предсказания с высокой точностью подтверждаются экспериментами.

Стандартная модель предсказывала существование многих частиц, включая Хиггсовский бозон, который был обнаружен в 2012 году на Большом адронном коллайдере.
Стандартная модель предсказывала существование многих частиц, включая Хиггсовский бозон, который был обнаружен в 2012 году на Большом адронном коллайдере.

Ограничения

Модель не объясняет:

  • гравитацию (её описывает Общая теория относительности),
  • тёмную материю и тёмную энергию,
  • массу нейтрино и их осцилляции,
  • асимметрию между веществом и антивеществом.

Заключение

Стандартная модель — мощная и проверенная теория, которая объясняет большинство наблюдаемых явлений в микромире. Однако её неполнота побуждает физиков искать «новую физику» за её пределами — в теориях, таких как суперсимметрия, теория струн и квантовая гравитация.

3

Основы физики звука

Звук — неотъемлемая часть нашей повседневной жизни. Мы слышим голоса, музыку, шум дождя — но что именно стоит за этими звуками с точки зрения физики?

физика звука
физика звука

Что такое звук?

С научной точки зрения, звук — это механическая волна, которая возникает в результате колебаний частиц упругой среды. Это значит, что звук не может распространяться в пустоте (вакууме) — ему нужна среда: воздух, вода или твёрдые тела.

Когда источник звука (например, струна гитары или голосовые связки человека) начинает колебаться, он создаёт сжатия и разрежения в окружающей среде. Эти колебания передаются от частицы к частице, образуя продольную волну.

Основные характеристики звука

Звуковая волна описывается несколькими физическими параметрами:

  1. Частота (ν) — определяет высоту звука. Измеряется в герцах (Гц). Чем выше частота — тем выше звук.
  2. Амплитуда — определяет громкость звука. Большая амплитуда = громкий звук.
  3. Длина волны (λ) — расстояние между двумя одинаковыми точками соседних волн.
  4. Скорость звука (v) — зависит от среды. В воздухе при 20 °C она составляет примерно 343 м/с, в воде — около 1500 м/с, в стали — более 5000 м/с.

Как мы слышим звук?

Человеческое ухо улавливает звуковые волны, которые попадают в ушной канал, вибрируют барабанную перепонку и передаются во внутреннее ухо. Там они преобразуются в электрические импульсы и передаются в мозг, где и происходит восприятие звука.

Человеческое ухо улавливает частоты в диапазоне от 20 Гц до 20 000 Гц. Звуки ниже 20 Гц называются инфразвуком, выше — ультразвуком.

Звук в разных средах

  • В воздухе звук распространяется достаточно быстро, но теряет энергию из-за трения.
  • В воде звук распространяется быстрее, потому что частицы находятся ближе друг к другу.
  • В твёрдых телах скорость звука максимальна, так как молекулы плотно упакованы и передают колебания эффективнее.

Применения в жизни

  1. Музыка — колебания струн, мембран и воздуха создают звуки разных тонов и тембров.
  2. Ультразвук — используется в медицине (УЗИ), промышленности (дефектоскопия) и даже для отпугивания животных.
  3. Акустика зданий — учитывает отражение, поглощение и распространение звука.
  4. Шумоподавление — создание звуковой волны, противоположной по фазе, для гашения нежелательного шума.

Интересный факт

На Луне звук не распространяется — ведь там нет атмосферы, а значит, и среды, способной передать звуковые колебания. Там можно лишь "услышать" вибрации через контакт с объектом, но не по воздуху.

Заключение

Звук — это не просто ощущение, это физическое явление, в котором участвуют колебания, энергия и законы движения. Понимание физики звука важно для инженеров, музыкантов, врачей и всех, кто работает со звуком и технологиями.

2