Тест по тригонометрии

Упростите: (sin4a – sin6a) : (cos5a*sina).

-2

2sina

-2sina

-2cosa

Упростите: 4 : (ctga – tga).

tg2a

ctg2a

2tg2a

sin2a

Упростите: cos3a/cosa - sin3a/sina.

2

2sina

2cosa

-2

Упростите: 2 : (tga – ctga).

cos2а

ctg2a

tg2a

-tg2a

В каком ответе знаки cos870°, sin(-490)° и tg670° приведены в порядке их написания?

-,+,-

+,-,-

-,-,+

-,-,-

Упростите выражение: sin2a + 2cosa · cos2a 1 – sina – cos2a + sin3a

2sina

ctga

4tga

2tga

В каком ответе знаки tg(—850)°, sin670° и cos(-550)° приведены в порядке их написания?

+,+,-

+,-,+

-,-,-

+,-,-

Найдите tgа, если tg(π/4 - а) = 1/3.

1/2

-3

1/3

3

Упростите: 1 + sin2a  - cosa sina + cosa

cosa

sina

-cosa

-2sina

Определите значение
2sina + sin2a 2sina - sin2a
если cosа = -1/3.

1,5

0,5

3

2/3

Вычислите: cos30°sin75°- cos60°sin15°.

0

√3/2

1/2

√2/2

Найдите tgа, если tg(π/4 + а) = 3.

1/3

-1/2

-1/3

1/2

Определите sin2а, если cos2а = 1/2.

1/4

3/8

3/4

√3/2

Найдите cos(x - у), если:

Тригонометрия - picture 13894

√3/2

1

1/2

√2/2

Найдите ctgа, если tg(π/4 - а) = -5/3.

1/3

-1/4

-1/3

-4

В каком ответе знаки sin(-790)°, cos600° и tg475° приведены в порядке их написания?

-,-,-

-,-,+

+,-,-

-,+,-

Найдите ctgа, если tg(π/4 + а) = 5/3.

-3

1/4

1/3

4

В каком ответе знаки cos590°, sin(-550)° и tg303° приведены в порядке их написания?

-,+,-

-,+,+

-,-,-

+,+,-

В каком ответе знаки sin960°, cos(-440)° и tg480° приведены в порядке их написания?

+,+,-

-,-,-

+,-,-

-,+,-

В каком ответе знаки sin880°, cos(-460)° и tg650° приведены в порядке их написания?

-,-,-

+,+,-

+,-,-

-,-,+

В каком ответе tg(—790)°, cos280° и sin510° знаки приведены в порядке их написания?

+,-,+

-,+,+

-,+,-

+,-,-

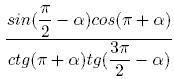
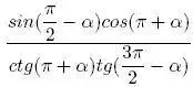
Упростите выражение:
1 – cos2a + sin2a 3cos2a

3ctg2a

3tg2a

1,5ctg2a

tg2a

В каком ответе знаки sin(-910)°, tg220° и cos(-440)° приведены в порядке их написания?

+,-,+

-,+,+

+,+,+

+,+,-

Упростите выражение: 1 + cosa + cos2a + cos3a sin2a + 2sina · cos2a

2sina

tga

2ctga

ctga

В каком ответе знаки cos1030°, sin(-570)° и tg(-490)° приведены в порядке их написания?

-,+,-

+,+,-

+,-,+

+,+,+

В каком ответе знаки tg835°, cos(-430)° и sin220° приведены в порядке их написания?

+,+,-

-,+,-

-,+,+

+,+,+

В каком ответе знаки tg885°, cos(-400)° и sin610° приведены в порядке их написания?

+,+,-

-,+,+

-,+,-

-,-,-

В каком ответе знаки sin751°, tg304° и cos543° приведены в порядке их написания?

-,-,+

-,-,-

+,+,-

+,-,-

В каком ответе знаки sin760°, tg(-460)° и cos470° приведены в порядке их написания?

+,+,-

+,-,-

+,+,+

-,+,-

В каком ответе знаки cos751°, sin304° и tg470° приведены в порядке их написания?

+,+,-

+,-,-

-,-,-

+,-,+

В каком ответе знаки cos580°, sin(-550)° и tg(-440)° приведены в порядке их написания?

-,+,-

+,+,-

+,+,+

-,-,-

Чему равно наибольшее значение: sin2a + 2cos2a?

1,2

1,4

1,6

2

Чему может равняться: cos4a sin5a - sin3a

1/sina

1/2cosa

1/cosa

1/2sina

Упростите выражение:

Тригонометрия - picture 13914

tga

cosa

-cosa

2sina

Укажите значение дроби: 2cos2a – sin2a 2sin2a – sin2a если известно, что tgа = -1/2.

-4

2

1/4

4

Вычислите:

Тригонометрия - picture 13916

3

1

3/2

3/4

Упростите: (tgx + ctgx)2 - (tgx - ctgx)2.

4

-4

-2

0

Упростите: 1 – cos2a 1 + tg2a

1/2 sin22a

sin22a

cos22a

1/2 cos22a

Какому из указанных выражений может равняться: sina cosa – cos3a

1/sin2a

1/(2sin2a)

-1/(2sin2a)

1/(2cos2a)

Упростите: sin2a + sin2β - sin2a·sin2β + cos2a·cos2β.

1

0

-1

-2

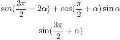
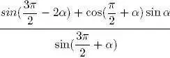
Упростите выражение:

Тригонометрия - picture 13921

-sin2a·tg2a

-sin2a

cos2a·ctg2a

-cos2a

Упростите выражение: sin2a + cos2a + ctg2a.

cos2a/2

1 / sin2a

tga/2

cos2a / 2

Вычислите: sin(arcsin √2  - arccos √2 ) 2 2

√2/2

1

0

√3/2

Упростите:

Тригонометрия - picture 13924

1

1,5

1,6

ctg2a

Если tga + tgβ = 5/6 и tgatgβ = 1/6 , то чему равно a + β?

-π/6 + πk, k Є Z

-π/4 + πk, k Є Z

π/6 + πk, k Є Z

π/4 + πk, k Є Z

В каких из указанных четвертей должна быть взята α, чтобы выполнялось sinα · cosα > 0 ?

I или IV

II или III

I или II

I или III

Косинус суммы двух углов треугольника равен -1/3. Найдите косинус третьего угла.

2/3

1/3

π/3

-2/3

Найдите tgх, если tg(х + у) = 5 и tgу = 1/8.

1/2

8

1/8

3

Вычислите:
sin2 π/8 + cos2 3π/8 + sin2 5π/8 + cos2 7π/8.

4

1

2

2√2

В каких из указанных четвертей должна быть взята α, чтобы выполнилось ctgα * cosα > 0 ?

III или IV

II или III

I или II

I ИЛИ III

Также изучают: Элементарная математика, Алгебра, Итоговый тест (11 класс), географическое положение России (8 класс), знание политической карты мира

Статьи по теме

Предел функции*

*и немного немецкого автопрома

Скажу сразу, что в этой статье нет ни грамотного определения предела функции, ни достаточного количества разнообразных примеров, ни правил и основных приёмов определения предела. Всё это можно и нужно читать в учебниках и задачниках. Цель этой статьи – помочь понять смысл, суть, скрывающуюся за цифрами, правилами и терминами.

Предел функции
Предел функции

Предел функции f(x) в какой-либо точке х0 – это значение, к которому она стремится  при стремлении x к значению х0

В это грубое, неверное с точки зрения математики, определение криво,но вписывается сама суть предела функции. Если разобраться с ним, то потом можно и разбираться во всех тонкостях, которые вполне подробно описаны в учебниках.

Важно разобраться буквально с каждым словом в определении, в этом есть ключ к осознанию определения. Стремление – вот один из основных терминов в определении. Стремление – это максимально возможное приближение. То есть стремление х к какому-либо конкретному значению (обозначаемому как х0, если кто не понял) – это максимальное приближение х к данному значению. В простом случае, если функция имеет значение в точке х0 , то максимально возможное приближение, и есть х0 . 

А если при х0 функция не существует? Придётся говорить несколько иначе. А иначе говоря, стремление – это минимальное отличие. Что такое минимальное отличие? Минимальное отличие, это отличие на минимальную величину, на минимальное число. Какое число будет являться минимальным? 0 сразу отбросим, так как отличия на 0 не бывает, если два числа отличаются на 0, то они совпадают, этот случай мы уже описали. Тогда какое это число? 0.1, 0.0001, 0.000000000000000000000000000000001? Но мы всегда можем добавить пару-тройку нолей после запятой и тем самым уменьшить число на несколько порядков, и уменьшать мы можем бесконечно, ну или пока не умрём. Вот тут мы подошли к важному моменту. Товарищи математики в этом случае придумали такую штуку как «Бесконечно Малая Величина» (далее БМВ (= ). БМВ – это величина, которая по модулю меньше любого наперёд заданного числа. Это значит, что для числа 10000 мы можем считать бесконечно малой 0.1, но как только мы озвучили «0.1» БМВ стала 0.0000001 и снова мы озвучили значение БМВ и она стала ещё меньше, например 0.000000000000001, и мы снова это сделали, мы озвучили её значение и она стала… не буду повторять, вы поняли.  Она всегда меньше любого озвученного числа, в этом и есть вся магия. Возвращаясь к нашей функции и х0 , в котором она не имеет значения, отметим, что при всех других, хоть сколько-нибудь отличающихся от х0 значениях, она существует, даже если это отличие на БМВ. То есть, если функция при х0 не существует, то стремление х к х0 есть отличие значения х от х0  на БМВ. Подводя черту скажем, что стремление х к х0 – это либо само х0 (если f(x) существует в х0), либо значение, отличающееся от х0 на БМВ (х0±БМВ) (если f(x) не существует в х0 ).

Разберём теперь это на конкретных примерах.     

Допустим, есть у нас функция f(x)=3x-1, данная функция определена на всём промежутке по оси х (выражение 3х-1 можно вычислить для любого значения х), следовательно, никаких проблемных мест нет и мы всегда можем вычислить предел данной функции, просто подставив вместо х интересующее нас значение. Если нас интересует предел функции при стремлении х к конечному значению, то всё просто (см. выше):

Предел функции*

Если нас интересует стремление х в бесконечность, то нам всегда поможет простое рассуждение: 

Предел функции*

Логично, что если умножить любое конечное число на бесконечно большую величину, оно станет бесконечно большим; а если отнять от бесконечно большого числа конечное число, то оно останется бесконечно большим:

Предел функции*

Допустим, функция f(x) выглядит, как представленно ниже:

Предел функции*

Данная функция определена не на всём промежутке по оси х (при х=2 знаменатель дроби обращается в 0, а деление на ноль обращает всё сущее в прах и никто на ноль поэтому не делит), поэтому наиболее интересен предел функции при стремлении х к 2.

Предел функции*

Отметим, что 0 здесь это не «ноль» а БМВ, так как на самом деле мы вместо х подставляем не «два», а число, отличающееся от двух на БМВ; кроме того, логично, что если поделить конечное число на бесконечно малое, то оно возрастёт в бесконечное число раз и станет бесконечно большим (попробуйте поделить 2 на 0,0000000000000001)

Если быть более строгим (что правильно), то стремление х к конкретному значению может быть как с большей, так и с меньшей стороны, в описанном выше примере это приводит к двум случаям (обозначим «2+БМВ» как «2+» (стремление с большей стороны), а «2-БМВ» как «2-»(стремление с меньшей стороны)): 2-2+=-0; 2-2-= 0 – (снова, 0 здесь, это БМВ), следовательно и конечный результат для каждого случая будет иметь значения + бесконечность и - бесконечность. Этот случай иллюстрирует пример предела справа и предела слева, используемые для таких ситуёвин:

Кроме того, отличаются пределы и при стремлении х к любой из бесконечностей. Всё это легко проследить на графике:

Предел функции*

На этом статья себя уже исчерпала, всё остальное (включая правильное определение предела функции) ищите в учебниках по высшей математике.

2