Тест по алгебре

При каком, выраженном через а и b, значении m выражение будет полным квадратом?

Алгебра - picture 13746

4/9a2b2

±3/2ab

9/4a2b2

Правильный ответ не приведен

Решите неравенство:

Алгебра - picture 13747

х = 9

9 ≤ х < 11

х ≤ 8

х ≤ 9

Составьте квадратное уравнение, корни которого обратны корням уравнения х2 - 20х + 96 = 0.

96х2 + 20х + 1 = 0

96х2 - 20х + 1 = 0

96х2 - 20х - 1 = 0

96х2 + 20х - 1 = 0

При каких значениях х верно равенство |x2 - 49| = 49 - х2?

-7 ≤ х ≤ 7

х ≥ 7

х ≤ -7

х ≤ 7

Найдите сумму всех коэффициентов приведенного квадратного уравнения, корни которого равны 4+√5 и 4-√5.

20

-18

4

-2

Один из корней квадратного уравнения х2 + 11х + q = 0 равен 8. Найдите второй корень.

-152

19

-3

-19

Найдите значение x1x22 + x21x2, если x1 и х2 - корни квадратного уравнения х2 - 8х + 11 = 0.

-168

88

-78

-88

Найдите значение x2 + x2x1 + x1, если x1 и х2 - корни квадратного уравнения 2х2 + 5х - 11 = 0.

-8

-7

-3

-6

Найдите значение x2 + x2x1 + x1, если x1 и х2 - корни квадратного уравнения 2х2 + 3х - 7 = 0.

-2

-4

-5

-7

Найдите значение x2 + x2x1 + x1, если x1 и х2 - корни квадратного уравнения 2х2 + 7х - 3 = 0.

-2

-4

-3

-5

Найдите значение x2 + x2x1 + x1, если x1 и х2 - корни квадратного уравнения 2х2 - 5х + 3 = 0.

0

-4

-1

4

Один из корней квадратного уравнения х2 - 11х + q = 0 равен 8. Найдите второй корень.

-24

19

-3

3

Найдите сумму всех коэффициентов приведенного квадратного уравнения, корни которого равны 5+√3 и 5-√3.

13

23

-21

-1

Один из корней квадратного уравнения х2 + 13х + q = 0 равен 7. Найдите второй корень.

20

6

-140

-20

Найдите сумму всех коэффициентов приведенного квадратного уравнения, корни которого равны 6+√2 и 6-√2.

23

-35

47

-21

Найдите сумму всех коэффициентов приведенного квадратного уравнения, корни которого равны 3+√5 и 3-√5.

-9

-1

11

3

Найдите сумму всех коэффициентов приведенного квадратного уравнения, корни которого равны 4+√3 и 4-√3.

-20

6

22

-4

Составьте квадратное уравнение, корни которого равны 6+√3 и 6-√3.

х2 + 12х - 33 = 0

х2 - 12х - 33 = 0

х2 + 12х + 33 = 0

х2 - 12х + 33 = 0

Составьте квадратное уравнение, корни которого равны 4+√5 и 4-√5.

х2 - 8х - 11 = 0

х2 + 8х - 11 = 0

х2 - 8х + 11 = 0

х2 + 8х + 11 = 0

Составьте квадратное уравнение, корни которого равны 3+√2 и 3-√2.

х2 - 6х - 7 = 0

х2 + 6х + 7 = 0

х2 - 6х + 7 = 0

х2 + 6х - 7 = 0

Составьте квадратное уравнение, корни которого равны 2+√5 и 2-√5.

х2 + 4х - 1 = 0

х2 - 4х - 1 = 0

х2 + 4х + 1 = 0

х2 - 4х + 1 = 0

Найдите значение x2 + x2x1 + x1, если x1 и х2 - корни квадратного уравнения 2х2 + 5х - 3 = 0.

2

4

1

-4

Найдите значение x1x22 + x21x2, если x1 и х2 - корни квадратного уравнения х2 - 10х + 22 = 0.

-120

220

280

-220

Один из корней квадратного уравнения х2 - 13х + q = 0 равен 7. Найдите второй корень.

20

-42

-6

6

Один из корней квадратного уравнения х2 - 7х + q = 0 равен 11. Найдите второй корень.

18

-4

44

4

Найдите значение x1x22 + x21x2, если x1 и х2 - корни квадратного уравнения х2 - 8х + 13 = 0.

104

94

-152

-104

Найдите значение x1x22 + x21x2, если x1 и х2 - корни квадратного уравнения х2 - 6х + 7 = 0.

42

77

-32

-42

Найдите значение x1x22 + x21x2, если x1 и х2 - корни квадратного уравнения х2 - 8х + 14 = 0.

-112

112

-144

-92

Составьте квадратное уравнение, корни которого равны 2+√3 и 2-√3.

х2 + 4х + 1 = 0

х2 + 4х - 1 = 0

х2 - 4х - 1 = 0

х2 - 4х + 1 = 0

Найдите наименьшее целое значение k, при котором уравнение х2 - 2(k + 2)х + 11 + k2 = 0 имеет два различных действительных корня.

1

-2

-1

2

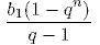
Найдите сумму корней уравнения:

Алгебра - picture 13776

3

-4

-3

4

При каких значениях t уравнение х2 + (t - 2)х + 4 = 0 имеет два различных отрицательных корня?

t ≤ 1

t > 6

t < 1

t < 2

Корни уравнения х2 + рх + q = 0 вдвое больше корней уравнения х2 - 3х + 2 = 0. Чему равно р + q?

2

-2

14

-14

Найдите сумму корней уравнения:

Алгебра - picture 13779

3

-5

6

-3

Найдите разность наибольшего и наименьшего корней уравнения х4 - 10х2 + 9 = 0.

2

8

1

6

Зная, что x1 и х2 - корни уравнения х2 + х - 1 = 0, найдите х31+х32.

2

-1

3

-4

Найдите наибольшее целое значение k, при котором уравнение kz2 + 2(k - 12)z + 6/5 = 0 не имеет действительных корней.

20

18

16

17

Сколько целых решений имеет уравнение |x2 - 3х| = 3х - х2?

1

2

3

4

Зная, что x1 и х2 - корни уравнения х2 - х + q = 0. Найдите q, если x31 + х32 = 19.

-12

-2

-5

-6

Найдите сумму корней уравнения |х| = х2 - х - 4.

1 — 2√5

2 - √5

—1 + √5

1 + √5

x1 и х2 - корни уравнения x2 + mx + n = 0. Если каждый корень этого уравнения увеличить на 4 и из полученных чисел составить новое уравнение, то свободный член нового уравнения будет равен n - 32 (n - свободный член исходного уравнения). Чему будет равно m?

9

11

10

12

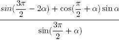
Найдите наибольшее значение выражения , если .

8

4

2

16

Вычислите x1/х2 + x2/х1, если x1 и х2 - корни уравнения 3х2 - 8х - 15 = 0.

-3 19/45

-3 1/45

5

-8/3

При каких значениях а уравнение ах2 - (а + 1)х + 2а + 2 = 0 имеет один корень?

0; -1

-1; 0; 1/7

1; -1/7

-1; 1/7

Чему равна сумма всех натуральных чисел, являющихся корнями уравнения |х2 - 8х + 7| = -7 + 8х - х2?

40

8

25

28

При каких значениях k уравнение х2 – 2k(х + 1) – k2 + 6k = 0 имеет отличное от нуля два совпадающих корня?

1

-2

2

-1

z1 и z2 - корни уравнения z2 + pz + q = 0. Если каждый корень этого уравнения увеличить на 4 и из полученных чисел составить новое уравнение, то свободный его член будет равен q + 68. Найдите р.

-10

-14

-13

-11

Найдите k в уравнении х2 + 3х + k + 8 = 0, если его корни x1 и х2 удовлетворяют условию x1/х2 = -1/4.

-10

-12

-7

-8

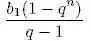
Найдите произведение корней уравнения .

Алгебра - picture 13794

-10

0

390

3

Найдите произведение корней уравнения 4|х - 2| = 3 + (х - 2)2.

-3

3

15

-15

Также изучают: Элементарная математика, Тригонометрия, Итоговый тест (11 класс), географическое положение России (8 класс), знание политической карты мира

Статьи по теме

Предел функции*

*и немного немецкого автопрома

Скажу сразу, что в этой статье нет ни грамотного определения предела функции, ни достаточного количества разнообразных примеров, ни правил и основных приёмов определения предела. Всё это можно и нужно читать в учебниках и задачниках. Цель этой статьи – помочь понять смысл, суть, скрывающуюся за цифрами, правилами и терминами.

Предел функции
Предел функции

Предел функции f(x) в какой-либо точке х0 – это значение, к которому она стремится  при стремлении x к значению х0

В это грубое, неверное с точки зрения математики, определение криво,но вписывается сама суть предела функции. Если разобраться с ним, то потом можно и разбираться во всех тонкостях, которые вполне подробно описаны в учебниках.

Важно разобраться буквально с каждым словом в определении, в этом есть ключ к осознанию определения. Стремление – вот один из основных терминов в определении. Стремление – это максимально возможное приближение. То есть стремление х к какому-либо конкретному значению (обозначаемому как х0, если кто не понял) – это максимальное приближение х к данному значению. В простом случае, если функция имеет значение в точке х0 , то максимально возможное приближение, и есть х0 . 

А если при х0 функция не существует? Придётся говорить несколько иначе. А иначе говоря, стремление – это минимальное отличие. Что такое минимальное отличие? Минимальное отличие, это отличие на минимальную величину, на минимальное число. Какое число будет являться минимальным? 0 сразу отбросим, так как отличия на 0 не бывает, если два числа отличаются на 0, то они совпадают, этот случай мы уже описали. Тогда какое это число? 0.1, 0.0001, 0.000000000000000000000000000000001? Но мы всегда можем добавить пару-тройку нолей после запятой и тем самым уменьшить число на несколько порядков, и уменьшать мы можем бесконечно, ну или пока не умрём. Вот тут мы подошли к важному моменту. Товарищи математики в этом случае придумали такую штуку как «Бесконечно Малая Величина» (далее БМВ (= ). БМВ – это величина, которая по модулю меньше любого наперёд заданного числа. Это значит, что для числа 10000 мы можем считать бесконечно малой 0.1, но как только мы озвучили «0.1» БМВ стала 0.0000001 и снова мы озвучили значение БМВ и она стала ещё меньше, например 0.000000000000001, и мы снова это сделали, мы озвучили её значение и она стала… не буду повторять, вы поняли.  Она всегда меньше любого озвученного числа, в этом и есть вся магия. Возвращаясь к нашей функции и х0 , в котором она не имеет значения, отметим, что при всех других, хоть сколько-нибудь отличающихся от х0 значениях, она существует, даже если это отличие на БМВ. То есть, если функция при х0 не существует, то стремление х к х0 есть отличие значения х от х0  на БМВ. Подводя черту скажем, что стремление х к х0 – это либо само х0 (если f(x) существует в х0), либо значение, отличающееся от х0 на БМВ (х0±БМВ) (если f(x) не существует в х0 ).

Разберём теперь это на конкретных примерах.     

Допустим, есть у нас функция f(x)=3x-1, данная функция определена на всём промежутке по оси х (выражение 3х-1 можно вычислить для любого значения х), следовательно, никаких проблемных мест нет и мы всегда можем вычислить предел данной функции, просто подставив вместо х интересующее нас значение. Если нас интересует предел функции при стремлении х к конечному значению, то всё просто (см. выше):

Предел функции*

Если нас интересует стремление х в бесконечность, то нам всегда поможет простое рассуждение: 

Предел функции*

Логично, что если умножить любое конечное число на бесконечно большую величину, оно станет бесконечно большим; а если отнять от бесконечно большого числа конечное число, то оно останется бесконечно большим:

Предел функции*

Допустим, функция f(x) выглядит, как представленно ниже:

Предел функции*

Данная функция определена не на всём промежутке по оси х (при х=2 знаменатель дроби обращается в 0, а деление на ноль обращает всё сущее в прах и никто на ноль поэтому не делит), поэтому наиболее интересен предел функции при стремлении х к 2.

Предел функции*

Отметим, что 0 здесь это не «ноль» а БМВ, так как на самом деле мы вместо х подставляем не «два», а число, отличающееся от двух на БМВ; кроме того, логично, что если поделить конечное число на бесконечно малое, то оно возрастёт в бесконечное число раз и станет бесконечно большим (попробуйте поделить 2 на 0,0000000000000001)

Если быть более строгим (что правильно), то стремление х к конкретному значению может быть как с большей, так и с меньшей стороны, в описанном выше примере это приводит к двум случаям (обозначим «2+БМВ» как «2+» (стремление с большей стороны), а «2-БМВ» как «2-»(стремление с меньшей стороны)): 2-2+=-0; 2-2-= 0 – (снова, 0 здесь, это БМВ), следовательно и конечный результат для каждого случая будет иметь значения + бесконечность и - бесконечность. Этот случай иллюстрирует пример предела справа и предела слева, используемые для таких ситуёвин:

Кроме того, отличаются пределы и при стремлении х к любой из бесконечностей. Всё это легко проследить на графике:

Предел функции*

На этом статья себя уже исчерпала, всё остальное (включая правильное определение предела функции) ищите в учебниках по высшей математике.

2