Тест по элементарной математике

Какую цифру надо поставить вместо точки 2468.13579, чтобы полученное число делилось на 9 нацело?

4

0

7

8

Сколько секунд содержится в 1 часе 160 минутах и 2 секундах?

13202

12202

14202

106002

Дано несколько натуральных чисел, сумма которых равна 77. Если каждое из этих чисел уменьшить на 4, то сумма новых чисел будет равна 53. Сколько чисел было дано?

4

6

8

12

Сколько квадратных сантиметров содержится в 2м23дм24см2?

21034

20304

2034

20244

При делении натурального числа на 18 в частном получили 14 и в остатке 11. Чему равно делимое?

173

243

253

263

Сколько секунд содержат двое суток?

136000

232400

172800

126600

При делении 358 получили в частном 17 и в остатке 1. Чему равен делитель?

21

19

22

20

Вычислите:139*15 + 18*139 + 15*261 + 18*261.

16200

15100

14500

13200

Какое из высказываний относительно натуральных чисел ложное?

на 5 делятся все числа, которые оканчиваются на цифры 0 или 5

на 4 делятся все числа, которые оканчиваются цифрой 0 или 4

чтобы число делилось на 12, достаточно, чтобы оно делилось на 3 и на 4

наименьшим кратным данных чисел будет наименьшее число, которое делится без остатка на эти числа

Сколько квадратных сантиметров содержится в 3м21дм25см2?

30105

3105

30015

3015

Найдите значение выражения:27*23 – 24*23 + 21*19 - 18*19 + 17*11 – 14*11.

143

159

165

203

Какое из нижеследующих высказываний, сформулированных относительно натуральных чисел, ложно?

на 15 делятся все числа, которые делятся на 3 и 5

если число делится на 3, то оно делится на 9

наибольшее число, на которое делятся все данные числа без остатка, является наибольшим общим делителем этих чисел

если из двух слагаемых одно делится на 11, а второе не делится на 11, то их сумма не делится на 11

Найдите значение выражения:26*25 – 25*24 + 24*23 - 23*22 - 19*5.

1

106

54

8

Дано несколько натуральных чисел, сумма которых равна 75. Если каждое из этих чисел уменьшить на 2, то сумма новых чисел будет равна 63. Сколько чисел было дано?

6

14

7

5

Найдите значение выражения:24*13 + 21*13 + 45*12 + 25*44 – 89*25.

89

126

79

0

Дано несколько натуральных чисел, сумма которых равна 60. Если каждое из этих чисел увеличить на 2, то сумма новых чисел будет равна 78. Сколько чисел было дано?

8

9

5

16

Найдите значение выражения:18*36 – 16*36 + 24*27 - 25*24 - 15*5.

1

45

0

15

Дано несколько натуральных чисел, сумма которых равна 77. Если каждое из этих чисел уменьшить на 4, то сумма новых чисел будет равна 53. Сколько чисел было дано?

8

4

6

12

Найдите значение выражения:36*24 – 33*24 + 17*11 – 14*11 + 26*25 - 23*25.

166

155

180

235

При делении 215 на 16 получили остаток, равный 7. Чему равно частное?

12

13

9

11

Истинное расстояние между двумя городами 200 км. Каким будет это расстояние (мм) на карте с масштабом 1:5000000?

10

100

20

40

Как изменится разность, если уменьшаемое уменьшить на 24 и вычитаемое уменьшить на 12?

уменьшится на 12

увеличится на 24

увеличится на 12

уменьшится на 36

Как изменится разность, если уменьшаемое увеличить на 16, а вычитаемое увеличить на 12?

увеличится на 28

уменьшится на 28

увеличится на 4

уменьшится на 4

Найдите значение выражения:21*17 – 18*17 + 17*15 - 15*14 + 18*13 - 15*13.

180

135

125

205

Какое утверждение верно?

Если сумма делится на 11, то и каждое слагаемое делится на 11.

Если каждое слагаемое делится на 13, то и сумма делится на 13.

Если ни одно из слагаемых не делится на 11, то и сумма не делится на 11.

Если хотя бы одно из слагаемых делится на 12, то и сумма делится на 12.

Найдите значение выражения:36*24 – 33*24 + 17*11 – 14*11 + 18*16 - 15*16.

180

166

155

153

Какое наименьшее положительное число надо прибавить к числу 821, чтобы после этого сумма делилась нацело на 6?

7

1

5

3

На сколько градусов поворачивается минутная стрелка часов за 9 минут?

15°

54°

25°

30°

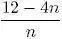
Известно, что n Є N. Сколько значений может принимать n, чтобы дробь тоже была натуральным числом?

Элементарная математика - picture 13594

3

2

5

6

Числа 3680 и 5980 делим на одно и то же число. При делении первого числа частное равняется 32. Найдите частное при делении второго числа.

38

44

48

52

Найдите наибольшее значение выражения:2/m + 6/n + 12/kпри m≥1, n≥2 и k≥3.

7

6

8

9

Какой цифрой заканчивается разность: 3*5*9*17* ... *1023 - 7?

8

3

0

9

На сколько градусов повернется минутная стрелка часов за 6 минут?

20°

24°

36°

40°

Натуральное число a разделили на число b и получили в частном c, остаток d. Как изменится d, если делимое и делитель увеличить в 3 раза?

уменьшится в 3 раза

останется прежним

увеличится на 2

увеличится в 3 раза

Найдите наименьшее целое значение выражения:3m + 5n – 2k,если m>3, n>5 и k

13

15

14

22

Укажите все цифры n, при которых число 6133n делится на 3 без остатка?

4

4; 2

2; 5; 8

2

В записи 1Х4770 замените Х такой цифрой, чтобы получилось число, делящееся на 45 без остатка.

8

0

5

4

Если из двузначного числа вычесть число, полученное перестановкой мест цифр в первоначальном числе, то результат обязательно делится на:

4

11

9

5

Какой цифрой заканчивается сумма нечетных чисел от 1 до 71?

4

1

0

6

Относительно трех чисел известно, что среднее арифметическое первых двух чисел равно 25, а среднее арифметическое всех трех чисел равно 30. Чему равно третье число?

45

40

44

38

Найдите число двухзначных натуральных чисел, кратных 7.

13

15

12

14

Среднее арифметическое трёх чисел равно 10, а среднее арифметическое двух других 15. Найдите среднее арифметическое этих пяти чисел.

10

12

11

13

Каждое из пяти данных чисел умножили на 3 и к полученным числам прибавили по 2. Сумма полученных чисел оказалась равной 76. Чему была равна сумма данных чисел?

25

22

15

20

Среднее арифметическое чисел x; -2,1 и 3,3 равно 0,7. Найдите х.

-0,6

0,9

0,8

-0,3

Сколько существует натуральных значений n, при которых выражение является целым числом?

Элементарная математика - picture 13610

1

4

2

3

Результат сложения двузначного числа с числом, полученным перестановкой мест цифр в первоначальном числе, обязательно делится на:

3

11

9

4

Два числа относятся друг к другу как 11:13. Их наибольший общий делитель равен 5. Найдите сумму этих чисел.

125

130

120

150

Каждому из четырёх данных чисел прибавили по 3, а затем каждое полученное число умножили на 2. Сумма полученных чисел оказалась равной 64. Найдите сумму данных чисел.

20

19

23

18

При делении числа 59 на некоторые натуральные числа в остатке получали 9. Найти сумму всех таких делителей.

60

50

45

85

В туристической группе отношение числа мужчин к числу женщин равно 5:2. Какое из следующих чисел не может быть числом туристов в группе?

21

35

65

28

Также изучают: Алгебра, Тригонометрия, Итоговый тест (11 класс), географическое положение России (8 класс), знание политической карты мира

Статьи по теме

Предел функции*

*и немного немецкого автопрома

Скажу сразу, что в этой статье нет ни грамотного определения предела функции, ни достаточного количества разнообразных примеров, ни правил и основных приёмов определения предела. Всё это можно и нужно читать в учебниках и задачниках. Цель этой статьи – помочь понять смысл, суть, скрывающуюся за цифрами, правилами и терминами.

Предел функции
Предел функции

Предел функции f(x) в какой-либо точке х0 – это значение, к которому она стремится  при стремлении x к значению х0

В это грубое, неверное с точки зрения математики, определение криво,но вписывается сама суть предела функции. Если разобраться с ним, то потом можно и разбираться во всех тонкостях, которые вполне подробно описаны в учебниках.

Важно разобраться буквально с каждым словом в определении, в этом есть ключ к осознанию определения. Стремление – вот один из основных терминов в определении. Стремление – это максимально возможное приближение. То есть стремление х к какому-либо конкретному значению (обозначаемому как х0, если кто не понял) – это максимальное приближение х к данному значению. В простом случае, если функция имеет значение в точке х0 , то максимально возможное приближение, и есть х0 . 

А если при х0 функция не существует? Придётся говорить несколько иначе. А иначе говоря, стремление – это минимальное отличие. Что такое минимальное отличие? Минимальное отличие, это отличие на минимальную величину, на минимальное число. Какое число будет являться минимальным? 0 сразу отбросим, так как отличия на 0 не бывает, если два числа отличаются на 0, то они совпадают, этот случай мы уже описали. Тогда какое это число? 0.1, 0.0001, 0.000000000000000000000000000000001? Но мы всегда можем добавить пару-тройку нолей после запятой и тем самым уменьшить число на несколько порядков, и уменьшать мы можем бесконечно, ну или пока не умрём. Вот тут мы подошли к важному моменту. Товарищи математики в этом случае придумали такую штуку как «Бесконечно Малая Величина» (далее БМВ (= ). БМВ – это величина, которая по модулю меньше любого наперёд заданного числа. Это значит, что для числа 10000 мы можем считать бесконечно малой 0.1, но как только мы озвучили «0.1» БМВ стала 0.0000001 и снова мы озвучили значение БМВ и она стала ещё меньше, например 0.000000000000001, и мы снова это сделали, мы озвучили её значение и она стала… не буду повторять, вы поняли.  Она всегда меньше любого озвученного числа, в этом и есть вся магия. Возвращаясь к нашей функции и х0 , в котором она не имеет значения, отметим, что при всех других, хоть сколько-нибудь отличающихся от х0 значениях, она существует, даже если это отличие на БМВ. То есть, если функция при х0 не существует, то стремление х к х0 есть отличие значения х от х0  на БМВ. Подводя черту скажем, что стремление х к х0 – это либо само х0 (если f(x) существует в х0), либо значение, отличающееся от х0 на БМВ (х0±БМВ) (если f(x) не существует в х0 ).

Разберём теперь это на конкретных примерах.     

Допустим, есть у нас функция f(x)=3x-1, данная функция определена на всём промежутке по оси х (выражение 3х-1 можно вычислить для любого значения х), следовательно, никаких проблемных мест нет и мы всегда можем вычислить предел данной функции, просто подставив вместо х интересующее нас значение. Если нас интересует предел функции при стремлении х к конечному значению, то всё просто (см. выше):

Предел функции*

Если нас интересует стремление х в бесконечность, то нам всегда поможет простое рассуждение: 

Предел функции*

Логично, что если умножить любое конечное число на бесконечно большую величину, оно станет бесконечно большим; а если отнять от бесконечно большого числа конечное число, то оно останется бесконечно большим:

Предел функции*

Допустим, функция f(x) выглядит, как представленно ниже:

Предел функции*

Данная функция определена не на всём промежутке по оси х (при х=2 знаменатель дроби обращается в 0, а деление на ноль обращает всё сущее в прах и никто на ноль поэтому не делит), поэтому наиболее интересен предел функции при стремлении х к 2.

Предел функции*

Отметим, что 0 здесь это не «ноль» а БМВ, так как на самом деле мы вместо х подставляем не «два», а число, отличающееся от двух на БМВ; кроме того, логично, что если поделить конечное число на бесконечно малое, то оно возрастёт в бесконечное число раз и станет бесконечно большим (попробуйте поделить 2 на 0,0000000000000001)

Если быть более строгим (что правильно), то стремление х к конкретному значению может быть как с большей, так и с меньшей стороны, в описанном выше примере это приводит к двум случаям (обозначим «2+БМВ» как «2+» (стремление с большей стороны), а «2-БМВ» как «2-»(стремление с меньшей стороны)): 2-2+=-0; 2-2-= 0 – (снова, 0 здесь, это БМВ), следовательно и конечный результат для каждого случая будет иметь значения + бесконечность и - бесконечность. Этот случай иллюстрирует пример предела справа и предела слева, используемые для таких ситуёвин:

Кроме того, отличаются пределы и при стремлении х к любой из бесконечностей. Всё это легко проследить на графике:

Предел функции*

На этом статья себя уже исчерпала, всё остальное (включая правильное определение предела функции) ищите в учебниках по высшей математике.

2