Тест по элементарной математике

Даны числа 24, 18 и 54. Найдите частное от деления наименьшего кратного этих чисел на их наибольший делитель.

12

36

48

72

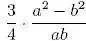
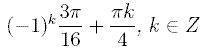
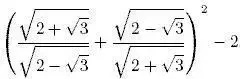
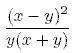
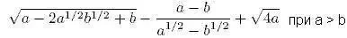
Вычислите:

Элементарная математика - picture 13667

-4/3

2/5

-2/5

1/2

Какое из следующих чисел делится с остатком на 36?

2016

3924

8244

2648

Вычислите:

Элементарная математика - picture 13669

1 3/80

1 3/40

1,16

1 7/80

Расположите в порядке убывания числа:a = 7/36;b = 5/34;c = 7/32;d = 8/37.

с > d > а > b

d > а > b > с

а > b > с > d

с > а > d > b

Вычислите:

Элементарная математика - picture 13671

2/25

2/15

8/57

3/35

Вычислите:

Элементарная математика - picture 13672

16/5

11/5

1/2

8/15

Сумма четырех чисел равна 36. Из них составили пропорцию, у которой сумма крайних членов равна 18, а разность средних членов равна 4. Найдите сумму средних членов пропорции.

12

14

16

18

Какие из чисел х = 30112, у = 3,3*105 и z = 102488 делятся на 12 с остатком?

только z

только у

только х

только x и z

Среднее арифметическое четырёх разных положительных чисел равно 42. Среднее арифметическое же двух больших из этих чисел равно 58. Найдите среднее арифметическое двух меньших из этих чисел.

26

30

31

28

Дано произведение всех натуральных чисел от 1 до 20 включительно. При каком наибольшем n нацело делится произведение на 2n+2 (n Є N)?

20

10

18

16

Некоторое число а при делении на 3 дает остаток 1, а при делении на 4 - остаток 3. Найдите остаток от деления числа а на 6.

3

7

5

1

Какие из чисел х = 123386, у = 402108 и z = 2,62*105 делятся на 6 с остатком?

только x и z

только z

только x

только у

Вычислите:

Элементарная математика - picture 13679

2 1/7

1 1/7

2 2/7

2

Разбейте число 434 на части, обратно пропорциональным числам 13 и 18.

252 и 182

238 и 196

192 и 242

150 и 284

Найдите отношение наименьшего общего кратного к наибольшему общему делителю чисел 72 и 120.

15

9

12

10

Вычислите:

Элементарная математика - picture 13682

3/20

5/17

15/34

2/13

Вычислите:

Элементарная математика - picture 13683

7/15

7/45

4/15

2/15

Какие из чисел х = 10842, у = 5,49*104 и z = 306298 делятся на 18 с остатком?

только z

только x и z

только x и y

только у

Вычислите:

Элементарная математика - picture 13685

-4/3

2/5

-2/5

1/2

Какие из следующих утверждений верны?1) два четных числа не могут быть взаимно простыми;2) четные и нечетные числа всегда взаимно простые;3) два различных простых числа всегда взаимно простые;4) числа 39 и 91 взаимно простые;5) два последовательных натуральных числа всегда взаимно простые.

2,3,4

1,3,5

2,3,5

4,5

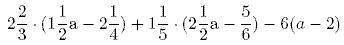
Вычислите:если числа а - 2b; 4; а + 3b; 24 являются последовательными членами пропорции.

Элементарная математика - picture 13687

8/3

2

3

4/3

Значение выражения |а - b| - | - b| при а ≠ 0 ...

отрицательно при а < b

положительно при а = b

положительно при а > b

среди приведенных ответов нет правильного

Вычислите:

Элементарная математика - picture 13689

4

3

-2,5

5

Разложите на множители квадратный трёхчлен:х2 - х - 2.

(х + 1)(х - 2)

(х - 1)(х + 2)

(х + 1)(х + 2)

(х — 1)(х — 2)

Найдите произведение координат вершины параболы:х2 - 14х + 34.

8

105

-8

-105

При каких значениях p уравнение 6х + 11p = 7 имеет отрицательный корень?

7/11 < p

p < 7/11

- 7/11 < p

p < - 7/11

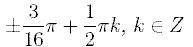
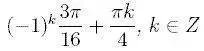
Решите уравнение:2cos4х + √2 = 0.

Элементарная математика - picture 13693_62520

Элементарная математика - picture 13693_62521

Элементарная математика - picture 13693_62522

Элементарная математика - picture 13693_62523

Одна сторона треугольника х см (х > 5), вторая на 3 см меньше, а третья на 2 см больше первой. Найдите периметр этого треугольника.

(3х - 1) см

(3х + 5) см

(3х + 1) см

(3х + 2) см

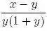
Упростите выражение:

Элементарная математика - picture 13695

-2у

2y

-2х

Упростите выражение:

Элементарная математика - picture 13696

2x

0

-2x

4

Два предмета в сумме стоят 75100 у.е. Если стоимость первого уменьшить на 20%, а второго увеличить на 10%, то вместе они будут стоить 65870 у.е. Укажите первоначальную стоимость первого предмета.

19200

66960

55800

23160

Упростите:-6 - 2(2 - у) - 2у + 2.

-8 - 4у

-8

8 - 4у

8

Упростите выражение:

Элементарная математика - picture 13699

2x – 2y

2y

-2y

2x

Разложите на линейные множители квадратный трехчлен:х2 - 3х + 2.

(х - 2)(х + 1)

(х — 1)(х — 2)

(х + 1)(х + 2)

(х - 1)(х + 2)

Упростите выражение:

Элементарная математика - picture 13701

-2x

4

0

2x

На экзамене по математике 12% учеников не решили ни одной задачи, 210 учеников решили задачи с ошибками, а число решивших все задачи верно относится к числу не решивших вовсе как 7:3. Сколько учеников экзаменовалось по математике в этот день?

480

350

260

470

Упростите выражение:

Элементарная математика - picture 13703

7

7а - 7

а + 5

1 1/2a - 5

Упростите выражение:

Элементарная математика - picture 13704

-2x

4

2x

0

Упростите выражение:

Элементарная математика - picture 13705

m + 12

m - 2

4

2/3m + 2

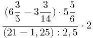
Вычислите:

Элементарная математика - picture 13706

16

14

18

12

Упростите выражение:a(b + c - bс) - b(с + а - ас) + с(b - а).

2ас

-2abc

-2bс

0

Вычислите:

Элементарная математика - picture 13708

3

2

3,2

2,5

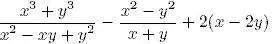
Упростите выражение: x2 - y2 : x + y 2xy 2x

Элементарная математика - picture 13709_62584

Элементарная математика - picture 13709_62585

Элементарная математика - picture 13709_62586

1/y

Упростите выражение:а(b - с) + b(с - а) - с(b - а).

-2ас

2

0

2аb

Упростите выражение:

Элементарная математика - picture 13711

2b1/2

2а1/2

-2b1/2

-2а1/2

Упростите выражение:

Элементарная математика - picture 13712

2b1/2

2а1/2

-2b1/2

2а1/2 - 2b1/2

Разложите на множители:9 - (2с - 1)2

4(с + 1)(2 - с)

2(с - 1)(с + 2)

4(с - 1)(с + 1)

(3с - 1)(с + 4)

Одна сторона треугольника х см (х > 7), вторая на 4 см меньше, а третья на 3 см больше первой. Найдите периметр треугольника.

3х + 4

3х - 1

3х - 3

3х + 7

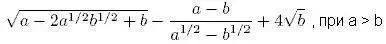
Упростите выражение:

Элементарная математика - picture 13715

0,6 + а

а + 1,3

1 2/3а – 2/5

а + 2/5

Также изучают: Алгебра, Тригонометрия, Итоговый тест (11 класс), географическое положение России (8 класс), знание политической карты мира

Статьи по теме

Предел функции*

*и немного немецкого автопрома

Скажу сразу, что в этой статье нет ни грамотного определения предела функции, ни достаточного количества разнообразных примеров, ни правил и основных приёмов определения предела. Всё это можно и нужно читать в учебниках и задачниках. Цель этой статьи – помочь понять смысл, суть, скрывающуюся за цифрами, правилами и терминами.

Предел функции
Предел функции

Предел функции f(x) в какой-либо точке х0 – это значение, к которому она стремится  при стремлении x к значению х0

В это грубое, неверное с точки зрения математики, определение криво,но вписывается сама суть предела функции. Если разобраться с ним, то потом можно и разбираться во всех тонкостях, которые вполне подробно описаны в учебниках.

Важно разобраться буквально с каждым словом в определении, в этом есть ключ к осознанию определения. Стремление – вот один из основных терминов в определении. Стремление – это максимально возможное приближение. То есть стремление х к какому-либо конкретному значению (обозначаемому как х0, если кто не понял) – это максимальное приближение х к данному значению. В простом случае, если функция имеет значение в точке х0 , то максимально возможное приближение, и есть х0 . 

А если при х0 функция не существует? Придётся говорить несколько иначе. А иначе говоря, стремление – это минимальное отличие. Что такое минимальное отличие? Минимальное отличие, это отличие на минимальную величину, на минимальное число. Какое число будет являться минимальным? 0 сразу отбросим, так как отличия на 0 не бывает, если два числа отличаются на 0, то они совпадают, этот случай мы уже описали. Тогда какое это число? 0.1, 0.0001, 0.000000000000000000000000000000001? Но мы всегда можем добавить пару-тройку нолей после запятой и тем самым уменьшить число на несколько порядков, и уменьшать мы можем бесконечно, ну или пока не умрём. Вот тут мы подошли к важному моменту. Товарищи математики в этом случае придумали такую штуку как «Бесконечно Малая Величина» (далее БМВ (= ). БМВ – это величина, которая по модулю меньше любого наперёд заданного числа. Это значит, что для числа 10000 мы можем считать бесконечно малой 0.1, но как только мы озвучили «0.1» БМВ стала 0.0000001 и снова мы озвучили значение БМВ и она стала ещё меньше, например 0.000000000000001, и мы снова это сделали, мы озвучили её значение и она стала… не буду повторять, вы поняли.  Она всегда меньше любого озвученного числа, в этом и есть вся магия. Возвращаясь к нашей функции и х0 , в котором она не имеет значения, отметим, что при всех других, хоть сколько-нибудь отличающихся от х0 значениях, она существует, даже если это отличие на БМВ. То есть, если функция при х0 не существует, то стремление х к х0 есть отличие значения х от х0  на БМВ. Подводя черту скажем, что стремление х к х0 – это либо само х0 (если f(x) существует в х0), либо значение, отличающееся от х0 на БМВ (х0±БМВ) (если f(x) не существует в х0 ).

Разберём теперь это на конкретных примерах.     

Допустим, есть у нас функция f(x)=3x-1, данная функция определена на всём промежутке по оси х (выражение 3х-1 можно вычислить для любого значения х), следовательно, никаких проблемных мест нет и мы всегда можем вычислить предел данной функции, просто подставив вместо х интересующее нас значение. Если нас интересует предел функции при стремлении х к конечному значению, то всё просто (см. выше):

Предел функции*

Если нас интересует стремление х в бесконечность, то нам всегда поможет простое рассуждение: 

Предел функции*

Логично, что если умножить любое конечное число на бесконечно большую величину, оно станет бесконечно большим; а если отнять от бесконечно большого числа конечное число, то оно останется бесконечно большим:

Предел функции*

Допустим, функция f(x) выглядит, как представленно ниже:

Предел функции*

Данная функция определена не на всём промежутке по оси х (при х=2 знаменатель дроби обращается в 0, а деление на ноль обращает всё сущее в прах и никто на ноль поэтому не делит), поэтому наиболее интересен предел функции при стремлении х к 2.

Предел функции*

Отметим, что 0 здесь это не «ноль» а БМВ, так как на самом деле мы вместо х подставляем не «два», а число, отличающееся от двух на БМВ; кроме того, логично, что если поделить конечное число на бесконечно малое, то оно возрастёт в бесконечное число раз и станет бесконечно большим (попробуйте поделить 2 на 0,0000000000000001)

Если быть более строгим (что правильно), то стремление х к конкретному значению может быть как с большей, так и с меньшей стороны, в описанном выше примере это приводит к двум случаям (обозначим «2+БМВ» как «2+» (стремление с большей стороны), а «2-БМВ» как «2-»(стремление с меньшей стороны)): 2-2+=-0; 2-2-= 0 – (снова, 0 здесь, это БМВ), следовательно и конечный результат для каждого случая будет иметь значения + бесконечность и - бесконечность. Этот случай иллюстрирует пример предела справа и предела слева, используемые для таких ситуёвин:

Кроме того, отличаются пределы и при стремлении х к любой из бесконечностей. Всё это легко проследить на графике:

Предел функции*

На этом статья себя уже исчерпала, всё остальное (включая правильное определение предела функции) ищите в учебниках по высшей математике.

2