Тест по элементарной математике

Вычислите:2,014:0,19 - 2,5*0,3.

1,85

20,85

8,85

9,85

Вычислите:3,8 * (2,01 – 3,81).

-6,84

5,82

6,84

-5,82

Сумма двух чисел равна 6,5. Одно из них в 4 раза меньше другого. Найдите большее из них.

5

6

4

5,2

Сумма двух чисел равна 7. Одно из них в 4 раза больше другого. Найдите большее из чисел.

6,2

5,4

5,6

5,2

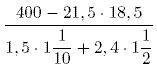
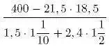
Чему равно значение выражения: ?

Элементарная математика - picture 13620

5/8

2/5

2

0,2

Среднее арифметическое чисел у; 2,1; 3 и 2,1 равно 2,3. Найдите у.

2

2,6

2,1

3,4

Чему равно значение выражения: ?

Элементарная математика - picture 13622

2/5

1/24

0,04

1/12

Сумма двух чисел равна 4,8. Одно из них в 3 раза меньше другого. Найдите меньшее из этих чисел.

1,4

1,2

1,6

2,1

Среднее арифметическое чисел 5,4; у и -2,2 равно 1,2. Найдите у.

1,2

-0,8

-0,4

0,4

Найдите число, обратное числу -1,5.

-2/3

2/3

1,5

-0,75

Напишите число 3602,1 в стандартном виде.

36,02*102

0,36*104

3,6*103

3,6021*103

Какому из указанных чисел равна сумма:1,015*10-5 + 3,14*10-4?

4,155*10-5

3,2415*10-4

4,155*10-9

1,329*10-4

Чему равно значение выражения: ?

Элементарная математика - picture 13628

2

0,2

5/8

2/5

Найдите число, обратное числу 0,8.

-5/4

8

-0,8

1,25

Среднее арифметическое чисел 5,4; у и -2,2 равно 0,8. Найдите у.

-0,4

-0,8

1,2

0,4

На карте расстояние между двумя городами равно 4,5 см. Найдите истинное расстояние (км) между этими городами, если масштаб карты 1:200 000 000.

9

9000

90

0,9

Среднее арифметическое чисел х; -2,1 и 3,3 равно 0,6. Найдите х.

0,8

0,6

-0,6

2

Напишите число 360,21 в стандартном виде.

3,6021*103

3,6021*102

36,02*102

3,6*103

Найдите число, обратное числу 5/2.

0,4

-6

1 2/3

-0,6

Чему равно значение выражения: ?

Элементарная математика - picture 13635

2/3

6

1/2

5/12

Найдите число, обратное числу -4/3.

-2/3

1,5

-0,75

2/3

Какому из указанных чисел равна сумма:2,701*10-3 + 3,205*10-4 ?

3,0215*10-3

5,906*10-4

3,4751*10-3

5,906*10-3

Найдите число, обратное числу 0,125.

1,25

-5/4

8

-0,8

Чему равно значение выражения: ?

Элементарная математика - picture 13639

1/24

2/5

0,04

2/3

Среднее арифметическое чисел x; 2,1; 3 и 2,1 равно 2,55. Найдите x.

2,6

2,1

2

3

Вычислите:

Элементарная математика - picture 13641

11 8/13

12

13,5

11 2/5

Сколько несократимых дробей со знаменателем 27, которые больше 2/3 и меньше 1?

7

6

5

4

Выполните действия: ?

Элементарная математика - picture 13643

2 1/3

5,6

2,8

2 2/3

Найдите значение выражения:

Элементарная математика - picture 13644

2 1/3

1 2/3

1 1/3

2 1/15

Упростите выражение:|n - m| - |n + k| - |m - k|,если m > n > k > 0.

-2n

2k-2n

2n

2k-2m

Найдите среднее арифметическое целых частей следующих неправильных дробей:65/6 и 39/8.

6

5

8

7

Выполните действия:

Элементарная математика - picture 13647

3/16

-1/8

-1/16

1/4

Упростите выражение:|р + q| + |k - q| - |k - р|,если р > q > k > 0.

2р + 2k

2q

2р + 2q – 2k

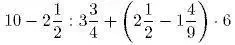
Вычислите:

Элементарная математика - picture 13649

4,2

4,4

4,5

0,4

Вычислите:

Элементарная математика - picture 13650

5/7

3/7

3/5

2/7

Выполните действия:

Элементарная математика - picture 13651

38 3/5

47

24 1/15

32 7/45

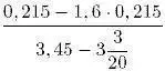
Вычислите:

Элементарная математика - picture 13652

-0,36

0,36

0,64

-3,6

Какая пара состоит из взаимно простых чисел?

(21; 10)

(12; 15)

(21; 14)

(10; 15)

Расставьте в порядке возрастания числа:a = 49/150;b = 102/300;c = 22/75.

а < с < b

b < с < а

с < а < b

с < b < а

Какая пара состоит из взаимно простых чисел?

(11; 22)

(12; 35)

(8; 14)

(12; 34)

Выполните действия:

Элементарная математика - picture 13656

17 1/3

16 2/3

15 2/3

16 1/3

Упростите выражение:|х — у| — |z — у| — |z — х|,если х < у < z.

2у-2х

2y-2z

2z-2y

Выполните действия:

Элементарная математика - picture 13658

-6 3/7

-7 3/7

-7 5/7

-6 4/7

Выполните действия:

Элементарная математика - picture 13659

10

0,4

20

2

Выполните действия:

Элементарная математика - picture 13660

-0,43

0,43

4,3

-4,2

Выполните действия:

Элементарная математика - picture 13661

-2

-5

1,5

-0,2

Деталь в масштабе 1:5 имеет длину 2,1 см. Какую длину (см) имеет данная деталь в масштабе 1:4,5?

3,1

3/5

15

2 1/3

Выполните действия:

Элементарная математика - picture 13663

2120

1800

2010

2000

Выполните действия:

Элементарная математика - picture 13664

12

10

6

8

Выполните действия:

Элементарная математика - picture 13665

13,5

12

10,5

16

Также изучают: Алгебра, Тригонометрия, Итоговый тест (11 класс), географическое положение России (8 класс), знание политической карты мира

Статьи по теме

Предел функции*

*и немного немецкого автопрома

Скажу сразу, что в этой статье нет ни грамотного определения предела функции, ни достаточного количества разнообразных примеров, ни правил и основных приёмов определения предела. Всё это можно и нужно читать в учебниках и задачниках. Цель этой статьи – помочь понять смысл, суть, скрывающуюся за цифрами, правилами и терминами.

Предел функции
Предел функции

Предел функции f(x) в какой-либо точке х0 – это значение, к которому она стремится  при стремлении x к значению х0

В это грубое, неверное с точки зрения математики, определение криво,но вписывается сама суть предела функции. Если разобраться с ним, то потом можно и разбираться во всех тонкостях, которые вполне подробно описаны в учебниках.

Важно разобраться буквально с каждым словом в определении, в этом есть ключ к осознанию определения. Стремление – вот один из основных терминов в определении. Стремление – это максимально возможное приближение. То есть стремление х к какому-либо конкретному значению (обозначаемому как х0, если кто не понял) – это максимальное приближение х к данному значению. В простом случае, если функция имеет значение в точке х0 , то максимально возможное приближение, и есть х0 . 

А если при х0 функция не существует? Придётся говорить несколько иначе. А иначе говоря, стремление – это минимальное отличие. Что такое минимальное отличие? Минимальное отличие, это отличие на минимальную величину, на минимальное число. Какое число будет являться минимальным? 0 сразу отбросим, так как отличия на 0 не бывает, если два числа отличаются на 0, то они совпадают, этот случай мы уже описали. Тогда какое это число? 0.1, 0.0001, 0.000000000000000000000000000000001? Но мы всегда можем добавить пару-тройку нолей после запятой и тем самым уменьшить число на несколько порядков, и уменьшать мы можем бесконечно, ну или пока не умрём. Вот тут мы подошли к важному моменту. Товарищи математики в этом случае придумали такую штуку как «Бесконечно Малая Величина» (далее БМВ (= ). БМВ – это величина, которая по модулю меньше любого наперёд заданного числа. Это значит, что для числа 10000 мы можем считать бесконечно малой 0.1, но как только мы озвучили «0.1» БМВ стала 0.0000001 и снова мы озвучили значение БМВ и она стала ещё меньше, например 0.000000000000001, и мы снова это сделали, мы озвучили её значение и она стала… не буду повторять, вы поняли.  Она всегда меньше любого озвученного числа, в этом и есть вся магия. Возвращаясь к нашей функции и х0 , в котором она не имеет значения, отметим, что при всех других, хоть сколько-нибудь отличающихся от х0 значениях, она существует, даже если это отличие на БМВ. То есть, если функция при х0 не существует, то стремление х к х0 есть отличие значения х от х0  на БМВ. Подводя черту скажем, что стремление х к х0 – это либо само х0 (если f(x) существует в х0), либо значение, отличающееся от х0 на БМВ (х0±БМВ) (если f(x) не существует в х0 ).

Разберём теперь это на конкретных примерах.     

Допустим, есть у нас функция f(x)=3x-1, данная функция определена на всём промежутке по оси х (выражение 3х-1 можно вычислить для любого значения х), следовательно, никаких проблемных мест нет и мы всегда можем вычислить предел данной функции, просто подставив вместо х интересующее нас значение. Если нас интересует предел функции при стремлении х к конечному значению, то всё просто (см. выше):

Предел функции*

Если нас интересует стремление х в бесконечность, то нам всегда поможет простое рассуждение: 

Предел функции*

Логично, что если умножить любое конечное число на бесконечно большую величину, оно станет бесконечно большим; а если отнять от бесконечно большого числа конечное число, то оно останется бесконечно большим:

Предел функции*

Допустим, функция f(x) выглядит, как представленно ниже:

Предел функции*

Данная функция определена не на всём промежутке по оси х (при х=2 знаменатель дроби обращается в 0, а деление на ноль обращает всё сущее в прах и никто на ноль поэтому не делит), поэтому наиболее интересен предел функции при стремлении х к 2.

Предел функции*

Отметим, что 0 здесь это не «ноль» а БМВ, так как на самом деле мы вместо х подставляем не «два», а число, отличающееся от двух на БМВ; кроме того, логично, что если поделить конечное число на бесконечно малое, то оно возрастёт в бесконечное число раз и станет бесконечно большим (попробуйте поделить 2 на 0,0000000000000001)

Если быть более строгим (что правильно), то стремление х к конкретному значению может быть как с большей, так и с меньшей стороны, в описанном выше примере это приводит к двум случаям (обозначим «2+БМВ» как «2+» (стремление с большей стороны), а «2-БМВ» как «2-»(стремление с меньшей стороны)): 2-2+=-0; 2-2-= 0 – (снова, 0 здесь, это БМВ), следовательно и конечный результат для каждого случая будет иметь значения + бесконечность и - бесконечность. Этот случай иллюстрирует пример предела справа и предела слева, используемые для таких ситуёвин:

Кроме того, отличаются пределы и при стремлении х к любой из бесконечностей. Всё это легко проследить на графике:

Предел функции*

На этом статья себя уже исчерпала, всё остальное (включая правильное определение предела функции) ищите в учебниках по высшей математике.

2